作者简介:武文杰(2001-),男。 E-mail: 1692584718@qq.com 通信作者:齐秀芳(1976-),女,博士。E-mail:qf412@sina.com
(HMX)在AP促进下的热分解及激光点火性能] 武文杰,刘 旭,马宇谦,谭 伟,齐秀芳 (西南科技大学 国防科技学院,四川 绵阳 621010)
(School of National Defense Science and Technology, Southwest University of Science & Technology, Mianyang Sichuan 621010, China)
physical chemistry; PBX(HMX); F2311/HMX/paraffin/AP; granularity; thermal decomposition dynamics; laser ignition
DOI: 10.14077/j.issn.1007-7812.202203004
备注
作者简介:武文杰(2001-),男。 E-mail: 1692584718@qq.com 通信作者:齐秀芳(1976-),女,博士。E-mail:qf412@sina.com
引言
近年来,硝胺类炸药的激光点火研究受到广泛关注。纯硝胺类炸药的吸收光谱主要分布于紫外和中远红外区域,而对近红外波段几乎不吸收,因此,不能被通常使用的激光辐照点火,通过添加光敏剂降低点火阈值来实现硝胺炸药激光点火是一种较为有效的途径[1]。研究者们通过对HMX进行改性,将HMX与纳米金属颗粒、碳黑、碳纳米管、氧化石墨烯等光敏材料[2-6]或铝热剂[7]复合,提高药剂对激光的吸收强度,从而实现HMX基炸药的激光热作用点火。然而上述大多数光敏材料因价格昂贵而无法被广泛应用,且金属纳米颗粒由于高表面活性而易发生化学反应和团聚,长时间贮存容易老化失活; 而惰性光敏材料降低了能量密度,影响含能材料的能量输出[8]。因此有必要寻找一种成本低廉、性能优越的材料来改善HMX基炸药的激光点火性能,拓展其激光点火应用。
研究表明[9],Al/RDX/AP复合物可以被激光点火,AP的加入提高了药剂的烧蚀速率。AP存在低温慢分解,其产物会催化硝胺炸药热分解。通过热分析及理论计算研究表明[10-14],AP与HMX之间存在强烈的“连锁互动效应”,AP可加速HMX的分解并提高药剂的燃速。因此,使AP 与HMX复合,将有助于实现HMX的激光点火。
主体含能材料的粒度是影响复合含能材料性能的重要因素。在粒度及其级配对塑料黏结炸药的性能影响方面,刘玉存等[15]通过小隔板试验(SSTG)研究了HMX粒度及其级配对塑料黏结炸药冲击波感度和爆炸输出能量的影响,结果表明HMX的粒度及其粒度级配对塑料黏结炸药的冲击波起爆感度和输出能量均有显著的影响。金浩博[16]研究了粒度及粒度级配对HMX基浇注PBX炸药的性能影响。初步揭示了主体炸药粒度及粒度级配方式对浇注PBX炸药性能的影响规律。结果表明随着HMX粒径的增加,热安定性能逐渐升高,撞击感度逐渐升高。Tomoki Naya 等[17]研究了HMX的粒径和含量对HMX基推进剂燃烧特性的影响。结果表明:用小颗粒的HMX制备的推进剂在稳态燃烧时,燃烧表面几乎平坦; 而用含有粗颗粒的HMX制备的推进剂燃烧时表面粗糙,粗颗粒从燃烧表面突出并产生了明显的闪烁火焰,在燃烧表面附近引起强烈的异质燃烧。细颗粒HMX有利于推进剂的稳态燃烧。樊学忠等[18]研究表明,较大粒度AP在其热分解过程中存在明显的低温分解阶段和高温分解阶段,随着粒度减小,AP的低温和高温分解峰温均增大,低温分解量逐渐减少,当AP粒度d50≤12.4μm时,低温分解不明显,主要表现为高温分解。然而,主体炸药粒度对复合含能材料热性能的影响在热力学依据方面尚有不足。
因此,本研究采用不同粒度的重结晶HMX和超细重结晶AP为含能组分,氟橡胶F2311为黏结剂,石蜡为钝感剂,制备不同质量比的F2311/HMX/石蜡/AP复合含能材料PBX(HMX)/AP,对所得晶体和复合物进行粒度、扫描电镜(SEM)、X射线衍射(XRD)、热分析(DSC、TG、DSC-IR)、热分析动力学及激光点火等表征或测试分析,实现AP促进的PBX(HMX)激光点火。并通过热分析动力学和激光点火试验,针对主体炸药HMX的粒度对F2311/HMX/石蜡/AP复合含能材料的热分解性能和激光点火性能的影响进行分析,探究主体炸药热力学与复合含能材料激光点火效应的相关性。
1 实 验
2 结果与讨论
3 结 论
(1)通过重结晶及筛分制得不同粒度HMXR和细粒度APR并表征。HMXRA、HMXRB、HMXRC、HMXRD的粒径范围分别为75~275、45~165、30~140、0~200μm; 中位粒径d50分别为161、102、68、37μm; 比表面积分别为0.232、0.369、0. 629、0.914m2/g。4种粒度的HMX均为β-HMX。APR粒径范围为5~20μm。
(2)热分析动力学结果表明,HMXR的表观活化能Ea随着晶体粒度减小而减小,热爆炸临界温度Tb随着晶体粒径减少略有减小,当d50小于100μm后,Tb变化不明显。HMXRA、HMXRB、HMXRC、HMXRD的热分解表观活化能Ea分别为515.89、492.22、487.22、481.67kJ/mol; 热爆炸临界温度Tb依次为276.67、273.65 、273.70、274.37℃。其中,HMXRA的Ea和Tb值最高,HMXRB和HMXRC的数据相近,HMXRD的Tb略大于HMXRB和HMXRC。
(3)含不同粒度HMXR的零氧平衡 PBX(HMX)/AP复合物的热分析结果表明,4个样品的DSC曲线都只显示一个分解放热峰,并且峰值相近,为230.4~235.2℃; PBX(HMXRC)/AP的热分解性能最优,其Ea为212.78kJ/mol,比HMXRC降低约274.44kJ/mol; 其Tb为197.45℃,比HMXRC降低约76.25℃,比APR降低约81.63℃。表明零氧平衡和细粒度及良好的黏结复合有利于HMX与AP的协同热分解。
(4)含不同粒度HMXR的PBX(HMX)不能被激光点火。PBX(HMX)/AP的点火延迟时间随HMX粒度的减小而减小,质量燃烧速率相应增大。零氧平衡PBX(HMXRC)/AP的激光点火性能最佳,在能量密度为23.599J/cm2的1064nm激光辐照作用下,其激光点火延迟时间为8200ms,质量燃烧速率为0.718g/(cm2·s)。HMX与AP的相互作用可以有效促进PBX(HMX)/AP的激光点火。
- [1] 冯长根, 刘柳, 覃文志, 等. 掺杂光敏物质用于降低火工药剂激光发火阈值研究进展[J]. 兵工学报, 2020, 41(11): 2347-2361.
- [2]FANG X, SHARMA M, STENNETT C, et al. Optical sensitisation of energetic crystals with gold nanoparticles for laser ignition[J]. Combustion and Flame, 2017, 183: 15-21.
- [3]CHURCHYARD S, FANG X, VRCELJ R. Laser ignitibility of energetic crystals doped with gold nanoparticles[J]. Optics & Laser Technology, 2019, 113: 281-288.
- [4]AHMAD S R, RUSSELL D A, GOLDING P. Laser-induced deflagration of unconfined HMX-the effect of energetic binders[J]. Propellants, Explosives, Pyrotechnic, 2009, 34(6): 513-519.
- [5]王惠娥, 沈瑞琪, 叶迎华, 等. 碳纳米管和碳黑掺杂RDX和HMX的反应性光声谱[J].火炸药学报, 2013,36(1): 34-37.
- [6]EWICK D W, BECKMAN T M, HOLY J A, et al. Ignition of HMX using low energy laser diodes[R]. Miamisburg, OH:EG and G Mound Applied Technologies, 1990.
- [7]HU P, XIAN M, WU L, et al. Laser ignition of a laser-thermal differential composite system based on non-uniform absorption[J]. Chemical Engineering Journal, 2021, 421: 127869.
- [8]王志超, 仝毅, 黄风雷. 纳米碳在含能材料中的应用进展[J]. 含能材料, DOI:10.11943/CJEM2021058.
- [9]CAO W, GUO W, DING T, et al. Laser ablation of aluminized RDX with added ammonium perchlorate or ammonium perchlorate/boron/magnesium hydride[J]. Combustion and Flame, 2020, 221: 194-200.
- [10]刘子如, 施震灏, 阴翠梅, 等. 热红联用研究AP与RDX和HMX混合体系的热分解[J].火炸药学报, 2007, 30(5): 57-61.
- [11]姜富灵, 翟高红,丁黎, 等. NO2, OH和OH-对环四甲撑四硝胺初始热解的影响[J]. 物理化学学报, 2010(2): 409-414.
- [12]丁黎, 衡淑云, 翟高红, 等. NH3、ClO3对β-HMX初始热解的影响[J].含能材料, 2011, 19(2):170-175.
- [13]李疏芬, 方翀. AP与HMX作用的“连锁互动”机制[J]. 推进技术, 2002(1): 79-83.
- [14]PIVKINA A N, MURAVYEV N V, MONOGAROV K A, et al. Synergistic Effect of Ammonium Perchlorate on HMX: from Thermal Analysis to Combustion[M]. Springer, Cham:Chemical Rocket Propulsion. 2017: 365-381.
- [15]刘玉存, 王作山, 柴涛, 等. HMX粒度及其级配对塑料粘结炸药冲击波感度和爆炸输出能量的影响[J]. 兵工学报, 2000,21(4): 357-360.
- [16]金浩博. 粒度及粒度级配对HMX基浇注PBX炸药的性能影响研究[D]. 太原: 中北大学, 2016.
- [17]NAYA T, KOHGA M. Influences of particle size and content of HMX on burning characteristics of HMX-based propellant[J]. Aerospace Science and Technology, 2013, 27(1): 209-215.
- [18]樊学忠, 李吉祯, 付小龙, 等. 不同粒度高氯酸铵的热分解研究[J]. 化学学报, 2009, 67(1): 39-44.
- [19]李鑫, 陈树森, 李丽洁, 等. 添加剂对HMX重结晶晶体形貌的影响[J]. 火炸药学报, 2011, 34(3): 15-20.
- [20]靳承苏. 含微纳米RDX/HMX颗粒级配的高聚物粘结炸药的制备及性能研究[D].南京:南京理工大学, 2018.
- [21]廖宁, 李兆乾, 李文鹏, 等. 新型HMX/AP/EP纳米复合物的制备及表征[J]. 含能材料, 2015, 23(7): 709-711.
- [22]胡荣祖, 高胜利, 赵凤起, 等. 热分析动力学[M].北京:科学出版社, 2008: 307-308.
2.1 SEM表征2.1.1 不同粒度重结晶HMX(HMXR)的SEM分析图1为所制备的4个粒度范围的HMXR的SEM测试结果。
由图1可看出,重结晶HMX呈典型的宝石状多面体结晶,形状比较规则,晶面光滑,晶体缺陷较少; 较大粒径的HMXRA和HMXRB含有较多的共生晶体,HMXRC含有较少的共生晶体; 采用快速结晶工艺制备的HMXRD粒度较小,且分布比较均匀,晶形更加趋向球形。共生晶体的生成过程可能是:在大批量结晶过程中由于空间受限,二次成核发生在先生成晶体的晶面上或晶核间互相碰撞结合后继续生长而成为共生晶体。在快速结晶工艺中,先快速生成大量晶核,然后晶核在同一环境中以近似相等的晶体生长速率长大成为粒径分布均匀的晶体,并且因为经过较长时间的静置,使晶体在足够的时空中比较充分地完成晶体内部缺陷的修复,所以HMXRD表观形貌较好,但还是存在一些未能修复的孔洞、凹槽等缺陷。晶形控制剂丙烯酰胺的存在或许是双刃剑,其与溶剂DMSO可能是导致晶体缺陷生成的一个原因。
图1 不同粒度的重结晶HMXR的SEM图
Fig.1 SEM images of recrystallized HMXR with different particle sizes2.1.2 PBX(HMX)的形貌含不同粒径HMXR的PBX(HMX)单个颗粒的局部表面形貌如图2所示。可以看出,HMX被黏结剂和钝感剂紧密粘结、包覆,保持着各晶体的形貌; 随着HMX粒径的减小,PBX(HMX)颗粒表面逐渐变得均匀。
图2 含不同粒度HMXR的PBX(HMX)的SEM图
Fig.2 SEM images of PBX(HMX)with different particle sizes of HMXR2.1.4 零氧平衡PBX(HMX)/AP的形貌图4为PBX(HMX)/AP的SEM图。从图4中可看出,4种粒度HMX制备的PBX(HMX)/AP混合都比较均匀,且小颗粒的AP晶体填充在PBX(HMX)颗粒间的空隙中,并黏结在其表面。随着HMX粒度的减小,单个PBX颗粒的表面积减小,从而PBX颗粒的大部分表面都能被AP晶体所包覆黏结。但图4(d)中可以看到有少部分晶体呈散落状。
图4 含不同粒度HMXR的零氧平衡PBX(HMX)/AP复合物的SEM图
Fig.4 SEM images of PBX(HMX)/AP composites of zero oxygen balance with different particle sizes of HMXR2.3 热分析2.3.1 HMXR及 PBX(HMX)的热分析不同粒度HMXR及由不同粒度HMXR制备的PBX(HMX)的DSC曲线如图6所示。
图6 HMXR及PBX(HMX)的DSC曲线
Fig.6 DSC curves for HMXR and PBX(HMX)从DSC图中可以看出,4种PBX(HMX)的吸热峰峰温和放热峰峰温都比较接近,且与HMXR的DSC相比变化不大,4种PBX(HMX)的热分解峰温与HMXR相比降低了0.5~1.0℃,说明炸药主体的性质未发生改变,F2311和石蜡对HMX的热分解没有明显影响,三者的相容性良好。
2.3.2 AP的热分析分别对原料AP(APr)和重结晶AP(APR)进行热性能分析,结果见图7。
图7 APR和APr的DSC曲线
Fig.7 DSC curves of APR and APr从AP的DSC曲线中可以看出:AP在245℃左右存在一个明显的吸热峰,这是由于AP发生了晶型转变。原料AP和重结晶AP都有两个放热峰,为AP的低温分解峰(P1)和高温分解峰(P2)。刘子如[10]对这两个阶段的热分解机理进行了研究,低温阶段的分解在AP的表面进行,晶体表面的缺陷、裂纹等不饱和点形成反应“核”,随着反应的进行,“核”沿着裂纹不断扩散,使大晶体破裂成较小的晶体; 高温阶段NH3的解吸使反应中心重新活化,AP部分液化,反应在整个凝聚相中进行,并且十分剧烈。
图7中,APr和APR的两个放热峰的峰形和峰温略有差异,APR的低温分解峰的峰形比原料APr更为平缓,高温放热峰峰温较APr略有降低。这可能是由于,原料AP经过重结晶后,AP的粒径减小,AP的比表面增大,在单位时间内吸收的热量增大,晶体表面AP的初始分解增加,分解产物吸附于晶体表面,对AP低温分解段P1的分解有一定阻碍作用,使P1峰的走势较平缓; 当晶体能量积累达到高温分解段P2的活化能后,发生急剧分解,峰形走势迅速上升,P2峰值温度降低。
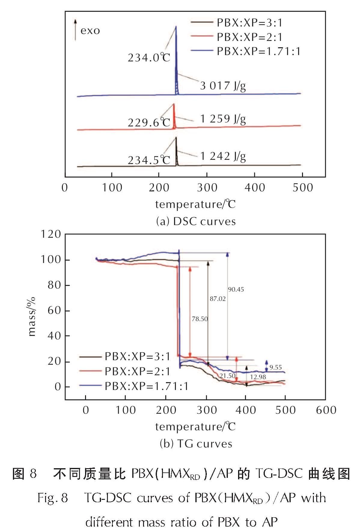
2.3.3 不同配比及含不同粒度HMXR的PBX(HMX)/AP的热分析由于正氧平衡配比的PBX(HMX)/AP样品的点火性能不良,所以未对正氧平衡配比的样品进行热分析,仅深入考察了负氧平衡和零氧平衡样品的热分解。图8为3个配比的PBX(HMXRD)/AP复合含能材料的TG-DSC测试结果。
从图8(a)DSC曲线中可以看出,3个配比的PBX(HMX)/AP复合含能材料的DSC曲线上只有一个明显的放热峰,且峰形窄而陡,说明反应快速且放热急剧; 没有出现HMX和AP各自的吸热峰,说明复合物没有发生吸热相变,反应在固相中进行; 并且,PBX(HMX)/AP的放热峰峰温低于HMX和AP各自的放热峰温,说明二者同步并提前于单一物质发生放热反应。同时,图8(b)的TG曲线显示主要的大量失重发生于放热峰区,为急剧失重,并且PBX(HMX)/AP在急剧失重段的质量损失都超过了78%,都大于试样中HMX的比例。由此可以说明PBX(HMX)/AP中HMX和AP之间存在着强烈的相互作用,AP的存在会使HMX的分解大大提前,同时,HMX的分解也影响着AP的热分解过程,在HMX分解反应发生后,二者协同剧烈分解。
图8 不同质量比PBX(HMXRD)/AP的TG-DSC曲线图
Fig.8 TG-DSC curves of PBX(HMXRD)/AP with different mass ratio of PBX to APAP分解产生NH3和ClO3时活化能小于HMX的气化活化能。AP在90℃以上即发生初始慢分解。所以,当受热时,在PBX(HMX)/AP复合物中, AP先分解,其初始分解产生的HClO4、NH3、OH、ClO3等分子或基团吸附在HMX晶体表面,对HMX的分解产生诱导和促进作用,使HMX的热分解提前; 同时HMX分解的产物及放出的大量热使AP发生同步快速分解反应并放热。PBX(HMX)/AP复合物体系中因包裹而滞留的NO2和N2O在AP的分解过程中起催化作用,使AP的分解加剧,大部分AP与HMX发生协同分解,分解峰提前,高温段AP的分解量较少,放热量不明显。因此,图8(a)中PBX(HMX)/AP复合物的DSC曲线上只在230℃ 左右显示了一个明显的急剧放热峰,图8(b)中急剧大量失重段与之相对应。这与A. N. Pivkina等[14]对不同比例HMX/AP复合物的热分析的研究结果一致,当HMX/AP复合物中HMX的质量分数为40%~90%时,在加热升温过程中由于HMX与AP的剧烈协同分解,使得HMX/AP复合物的DSC曲线上仅在230℃ 左右出现一个放热峰,后续升温过程中无明显放热峰。
图8(a)中标出了各放热峰的峰面积,可知,零氧平衡配比(PBX与AP的质量比为1.71:1)的PBX(HMX)/AP的放热峰峰面积高达3017J/g,远大于两个负氧平衡配比的峰面积。同时,图8(b)的TG曲线显示,PBX与AP的质量比为1.71:1的PBX(HMX)/AP在急剧失重段的质量损失为90.45%,高于负氧平衡配比的两个试样,也远大于试样中HMX的比例。说明零氧平衡配比的PBX(HMX)/AP的热性能最优。因此,后续实验主要研究零氧平衡配比(PBX与AP的质量比1.71:1)PBX(HMX)/AP复合含能材料。
图9为零氧平衡配比、含不同粒度HMXR的PBX(HMX)/AP的DSC曲线。
图9 含不同粒度HMXR的零氧平衡PBX(HMXR)/AP的DSC曲线
Fig.9 DSC curves of PBX(HMXR)/AP of zero oxygen balance with different particle sizes of HMXR从图9中可看出,与图8(a)相似,该系列DSC曲线只显示一个剧烈放热峰,这一现象也与廖宁等[21]的HMX/AP/含能聚合物(EP)纳米复合物的制备与表征研究中,HMX/AP/EP的热分解DSC曲线相似; 4种样品的热分解峰值相近,相差小于5℃,其中PBX(HMXRA)/AP的放热峰峰温最低,为230.4℃; PBX(HMXRB)/AP的放热峰峰温最高,为235.2℃。各样品的热分解放热峰峰面积从大到小依次为:PBX(HMXRC)/AP,3242J/g; PBX(HMXRD)/AP,3017J/g; PBX(HMXRB)/AP,2288J/g; PBX(HMXRA)/AP,2067J/g。可知PBX(HMXRC)/AP的热性能最佳。
可以看出,在一定范围内,随着HMX粒径的减小,PBX/AP复合含能材料的热性能逐渐改善。对于PBX(HMXRD)/AP的放热峰峰面积略小于PBX(HMXRC)/AP的放热峰峰面积这一现象,可以通过其SEM图进行解释。在图4(d)中有部分晶体呈散落状,未能有效地黏结在一起。这可能因为,一方面是HMXRD晶体表面更光滑,与黏结剂的相互作用较弱,容易产生脱黏现象; 另一方面,随着HMX粒度的减小,PBX的总表面积逐渐增加,而黏结剂的量为定值,故当HMX的粒度减小到一定值时,黏结剂的量不足以将PBX和AP有效紧密地黏结起来,有部分晶体散落,因此该PBX/AP复合含能材料的热力学性能会降低。
综上,配比为零氧平衡的PBX(HMXRC)/AP的热力学性能最优,因此进一步研究其热分解动力学。
2.3.4 DSC-TG-IR零氧平衡PBX(HMXRC)/AP复合材料的DSC-TG-IR测试结果如图 10所示,复合材料分解产生的气体所对应的红外吸收峰δ(cm-1)分别为: 3745(H2O); 2860,1745(CH2O); 2544(HCl); 2368(CO2); 2238(N2O); 712(HCN)。所有可检测到的气相产物的红外吸收峰都主要出现在245℃左右; N2O为 PBX(HMXRC)与AP的共同气相产物,具有最强吸收,其产生绝大部分发生在245℃左右,少量发生在346℃左右。在文献[10]中,HMX在升温加热过程中IR在约282~298℃区间内测得N2O、CH2O、H2O、CO2和CO。与文献[10]中HMX的热分解结果相比,本实验中PBX(HMXRC)/AP复合物的同类气相产物的产生明显提前,说明在升温过程中AP的存在降低了HMX的起始分解温度,加速了HMX的分解; 未出现CO的红外吸收特征峰(2176cm-1),说明AP为HMX的分解提供了氧; N2O为 PBX(HMXRC)与AP的共同气相产物,N2O的产生绝大部分发生在245℃和346℃左右,比AP的高温分解大幅提前,说明HMX对AP的分解起加速作用。此结果有效表明了HMX与AP的热分解存在协同作用。
图 10 零氧平衡PBX(HMXRC)/AP的同步热分析气相产物红外光谱图
Fig.10 FTIR graphs of the synchronous thermal analysis of the PBX(HMXRC)/AP composite with zero oxygen balance2.4 热分析动力学2.4.1 表观活化能Ea通过Kissinger法来计算不同粒度分布HMX的热分解动力学参数(包括热分解活化能Ea、指前因子A)。该法主要依据如下假设:热分解曲线峰值温度处的反应速率为最大,并认为固体分解反应一般遵循n级反应,将质量作用定律和阿累尼乌斯方程联合变换得到最终的关系式:
ln β/(T2p)=ln((AR)/E)-E/(RTp)(1)
式中:β为升温速率,K/min; Tp为对应升温速率下的分解峰温,K; A为指前因子,min-1; E为表观活化能,J/mol; R为气体常数,8.314J/(mol·K)。
由(1)式可知,ln β/(T2)与1/(Tp)之间的关系曲线是一条斜率为k=-E/(RTp)、截距为z=ln(AR)/E的直线[22]。
采用DSC测得不同升温速率下各个样品的热分解峰温,经Kissinger公式计算得到各样品的热分析动力学参数Ea和A,相应数据和结果见表1。
由表1中DSC数据可以看出,随着升温速率的增大,同一粒度分布的HMXR的热分解峰温也随之升高,从粒度大小看,当升温速率β为5K/min时,4个粒度的HMXR分解峰温基本一致,在其他升温速率下,随着HMX粒度的减小,分解峰温有小幅度增大的趋势。可以看出,随着HMXR的粒度逐渐减小,HMX的表观活化能Ea和指前因子A相应减小。不同粒度HMXR的Ea分别为:HMXRA,515.89kJ/mol; HMXRB,492.22kJ/mol; HMXRC,487.22kJ/mol; HMXRD,481.67kJ/mol。由此说明,随着HMX颗粒粒度的减小,比表面积增大,热传导速率变得更快,导致其活化能降低,能量释放效率提高,反映到DSC曲线上,热分解峰温升高。
从表1中的数据可以看出,将原料AP重结晶后,其低温分解的活化能和指前因子均降低,其高温分解的活化能和指前因子均增大。APR的低温分解活化能为103.96kJ/mol,高温分解活化能为343.09kJ/mol。
与HMXR相比,PBX(HMX)/AP的活化能和指前因子都发生了大幅度的降低,其中,表观活化能Ea为212.78kJ/mol,比HMXR降低约274.44kJ/mol。可知,在AP存在下,HMX更易发生分解反应。
2.4.2 热爆炸临界温度Tb将不同升温速率下的样品的实验数据代入公式(2):

式中:β为升温速率; Tpi对应升温速率为 β的热分解峰温。
求出β→0时的Tp0的值,再将Tp0代入热爆炸临界温度Tb公式(3),得到HMXRA、HMXRB、HMXRC、HMXRD的热爆炸临界温度分别为276.67、273.65、273.70、274.37℃; APR(P1)、APR(P1)的热爆炸临界温度分别为328.10℃、279.08℃; PBX(HMXRC)/AP的热爆炸临界温度为197.45℃。

可以看出,随着HMX粒度的减小,其热爆炸临界温度Tb略有减小,HMXRD的Tb略高于HMXRB和HMXRC,这是因为HMXRD晶体的缺陷更少。重结晶APR的热爆炸临界温度比原料APR降低约49.02℃。PBX(HMXRC)/AP复合材料的热爆炸临界温度为197.45℃,与原料相比有较大幅度减小,比HMXR降低约76.25℃,比APR降低约81.63℃。
2.5 PBX(HMX)/AP复合材料的激光点火2.5.1 不同配比的PBX(HMX)/AP的激光点火首先对未与AP复合的PBX(HMX)、不同质量配比的PBX(HMXRD)/AP复合物样品进行激光点火实验,了解其激光点火性能,所产生火焰如图 11所示。点火延迟时间和质量燃烧速率列于表2,各PBX(HMX)/AP复合物样品均在相同激光能量(23.599J/cm2)作用下点火。
图 11 不同质量配比的PBX(HMXRD)/AP的激光点火火焰
Fig.11 Combustion flame of PBX(HMX)/AP samples with different mass ratios by laser ignition从图 11可看出,随着复合材料中HMX的含量降低,火焰逐渐变小,亮白色区域变小,说明随着HMX含量的减小、AP含量的增大,PBX(HMXRD)/AP复合物的理论能量减小,火焰温度逐渐降低。当PBX(HMX)与AP的质量比为3:1和2:1时,体系为负氧平衡,火焰爆发力量强; 当PBX(HMX)与AP质量比为1.71:1时,体系为零氧平衡,火焰最平稳; 当PBX(HMX)与AP的质量比为2:3时,体系为正氧平衡,样品在激光作用下几乎不产生火焰,该复合物的发火以气流和溅射为主要表现形式。从表2可看出,在激光器输出激光能量密度范围(1.146~34.015J/cm2)内,PBX(HMX)不能被点火; 在能量密度为23.599J/cm2的激光辐照作用下,随着AP含量增加,不同配比PBX(HMXRD)/AP复合物的点火延迟时间缩短,质量燃烧速率增加。如当PBX(HMX)与AP的质量比为3:1时,点火延迟时间t和质量燃烧速率u分别为19032ms、0.547g/(cm2·s); 当PBX(HMX)与AP的质量比为2:1时,分别为18576ms、0.637g/(cm2·s); 当PBX(HMX)与AP的质量比为1.71:1时,分别为11284ms、0.661g/(cm2·s)。已知纯HMX几乎不能被激光热作用点火。结合热分析结果,PBX(HMX)中的黏结剂和钝感剂对HMX的热分解没有明显影响,而AP 与HMX的分解可以互相促进。因此,可以确定,HMX与AP的相互作用促进了PBX(HMX)/AP复合物的点火; 兼顾能量和激光点火性能,以HMX与AP的零氧平衡配方为最优。
2.5.2 含不同粒度HMXR的PBX(HMX)/AP的激光点火含不同粒度HMXR的PBX(HMX)/AP的激光点火结果如图 12和表2所示。
表2 PBX(HMX)/AP复合材料的激光点火实验结果
Table 2 Experimental results of the laser ignition of PBX(HMX)/AP composite materials从图 12可看出,PBX(HMXRA)/AP的点火初期火焰延续能力较弱,中后期火焰稳定; PBX(HMXRB)/AP、PBX(HMXRC)/AP和PBX(HMXRD)/AP的火焰延续更稳定,但在点火下半段有明显的溅射/射流,其中PBX(HMXRB)/AP和PBX(HMXRC)/AP的溅射都非常强,PBX(HMXRB)/AP的溅射现象存在于其点火后程800ms内,PBX(HMXRC)/AP的溅射存在于其点火后程400ms内。由表2可看出,含不同HMX粒度的PBX(HMX)/AP的点火延迟时间随着HMXR粒度的减小而减小,质量燃烧速率相应增大。在该序列中,PBX(HMXRD)/AP的点火结果出现异常,可能与PBX(HMXRD)/AP中HMXRD与前3个粒度HMXR非同一结晶体系产物及复合物中两种晶体未能良好被黏结复合有关。PBX(HMXRC)/AP的激光点火数据最佳,其激光点火延迟时间为8200ms,质量燃烧速率为0.718g/(cm2·s)。
从表1热分析动力学参数Ea和热爆炸临界温度Tb的数据可知,HMXRA的Ea和Tb值最高,HMXRB和HMXRC的数据相近,HMXRD的Tb略大于HMXRB和HMXRC。这与含不同粒度HMXR的PBX(HMX)/AP的激光点火结果相一致。说明粒度范围影响传热、传质和物质间相互作用效率,进而影响点火、传火性能。细粒度和零氧平衡及良好的黏结复合最有利于PBX(HMX)/AP中HMX与AP的协同热分解。
1.1 试剂及仪器HMX(工业级),甘肃银光化学工业集团有限公司; AP(分析纯),山东西亚化工工业有限公司; 丙酮、乙酸乙酯、二甲基亚砜、甲醇均为分析纯,成都科隆化工试剂厂。
IS300(3.0 MP)型光学显微镜,上海长方光学仪器有限公司; STA 449 F5型同步热分析仪(DSC-TG),德国耐驰科学仪器有限公司; Bruker D8型X-射线衍射仪(XRD),布鲁克(北京)科技有限公司; 80-1型台式低速离心机,金坛市科学仪器有限公司。KQ5200DE型超声仪,昆山市超声仪器有限公司; 马尔文激光粒度仪,MS3000,上海智鸢机电设备有限公司。Penny-A-500型Penny激光器,鞍山紫玉激光科技有限公司; 日本Photron FASTCAM Mini UX100型高速摄影仪,Autosorb-IQ型比表面积和孔隙度分析仪,美国康塔仪器有限公司。
1.2 样品制备1.2.1 不同粒度重结晶HMX(HMXR)的制备(1)制备粒径宽分布HMXR。 将50g HMX加入100mL二甲基亚砜(DMSO)中,磁力搅拌,水浴加热至40℃,使HMX完全溶解后继续搅拌30min; 加入晶形助剂丙烯酰胺[19],其质量分数为HMX的4%,溶解后,继续搅拌10min; 向HMX的DMSO溶液中缓慢滴加300mL、40~50℃的去离子水,滴速为1mL/min,使HMX缓慢结晶析出,滴加完毕后继续搅拌2h养晶; 静置陈放10h后,过滤、洗涤、过筛、真空干燥,获得粒径宽分布HMXR。
采用水筛法,将制得的HMXR在(0.1±0.01)MPa水流的作用下依次通过100、120、160、200、240、280目实验室标准筛,分别获得:HMXRA,粒径为75~275μm,d50为161μm,比表面积为0.232m2/g; HMXRB,粒径为45~165μm,d50为102μm,比表面积为0.369m2/g; HMXRC,粒径为30~140μm,d50为68μm,比表面积为0.629m2/g。
(2)制备细粒径、窄分布HMXR(HMXRD)。与制备宽分布的HMX相似,仅将向HMX的DMSO溶液中滴加去离子水改为向HMX的DMSO溶液中快速倒入去离子水。
1.2.2 重结晶AP(APR)的制备以丙酮/甲醇溶液(体积比为2:1)为溶剂,乙酸乙酯为非溶剂,溶剂与非溶剂体积比1:5,采用反加法快速倒入,40℃下超声震荡20min,静置数分钟,离心,真空干燥,得到APR。
1.2.3 PBX(HMX)的制备以F2311为黏结剂、石蜡为钝感剂,HMX、黏结剂、钝感剂质量比为92:5:3,采用“水悬浮法”[20]制备不同粒度HMXR的F2311/HMX/石蜡复合含能材料,即PBX(HMX)。
1.2.4 PBX(HMX)/AP的制备以复合样品中HMX/AP零氧平衡配比为例,准确称量2.0000g PBX(HMX)和1.1696g APR加入到烧瓶中,加入5mL乙酸乙酯,常温下磁力搅拌10min,使PBX和AP混合均匀并黏结在一起,最后通过减压蒸馏驱除乙酸乙酯,真空干燥。重复上述步骤分别制备不同质量比或不同HMX粒度的PBX(HMX)/AP复合含能材料。
为了探究PBX(HMX)与AP的配比对PBX(HMX)/ AP性能的影响,在零氧平衡的基础上设计了具有不同氧平衡值(OB)的5个配比(PBX(HMX)与AP质量比):3:1(OB=-6.40%)、2:1(OB=-1.91%)、1.71:1(零氧平衡,OB=0.01%)、1:1(OB=7.08%)和2:3(OB=12.47%)。HMX选用HMXRD。(注:氧平衡OB是按PBX(HMX)/AP中HMX和AP两个组分来计算的。)
1.3 性能表征与测试通过SEM对样品形貌进行表征; 通过粉末XRD表征HMXR的晶型; 采用DSC-TG对样品的热性能进行测量,测试条件为:温度范围30~500℃,试样质量为(0.4±0.1)mg,N2气氛,升温速率为10K/min,铝坩埚。
HMX及PBX(HMX)/AP的热分析动力学测试条件为:温度范围30~350℃,试样质量为(0.4±0.1)mg,N2气氛,升温速率为 5、10、15、20K/min,铝坩埚。
AP的热分析动力学测试条件为:温度范围30~500℃,试样质量为(0.7±0.1)mg,N2,升温速率分别为 5、10、15、20K/min,铝坩埚。
DSC-TG-IR:采用热红联用同步热分析仪(DSC-TG-IR)对PBX(HMX)/AP在升温条件下的气态分解产物进行分析,升温速率10K/min,升温范围25 ~ 550℃,氩气,三氧化二铝坩埚。
PBX(HMX)/AP的激光点火:采用激光器和高速摄影仪对不同质量比、不同HMX粒度的PBX(HMX)/AP复合材料进行点火试验。样品采用小型油压机压制成型为直径约5mm、厚度约1mm的药片,压片条件为:压强5MPa,作用时间1min,无脱模剂。点火条件:室温,常压,开放环境,激光波长1064nm,脉宽110μs,脉冲重复频率10Hz,光斑直径约为2mm,激光总行程250mm,透镜焦距200mm。













